Berhenti Kerja Tanpa Notis - Resume Kreatif على تويتر Situasi 3 Berhenti Tanpa Notis Masih Boleh Dapat Gaji Https T Co Jahv5ohcpx تويتر / Saya telah bercakap dengan beberapa orang yang berhenti kerja tanpa memberi notis selama dua minggu dan tidak pasti tentang kesannya.

Berhenti Kerja Tanpa Notis - Resume Kreatif على تويتر Situasi 3 Berhenti Tanpa Notis Masih Boleh Dapat Gaji Https T Co Jahv5ohcpx تويتر / Saya telah bercakap dengan beberapa orang yang berhenti kerja tanpa memberi notis selama dua minggu dan tidak pasti tentang kesannya.. Pihak yang menerima notis itu juga boleh memendekkan tempoh notis tersebut. Ada juga yang berhenti kerja kerana sakit, ada masalah kesihatan atau masalah peribadi. Jika tanpa sebab, nyatakan sahaja tanpa sebab. Should i pay or just ignore the claim? Walau bagaimanapun, dalam beberapa kes, anda mungkin tidak mahu atau tidak dapat memberi notis.

Siape penah kena saman berhenti kerja tanpa notis firza nak mintak tolong sape2 yg penah kena saman sebab berhenti kerja tanpa notis.firza x tahan dah rase nak cabut je kerja.truk ke tindakan yang die ambik.kite leh kena tangkap x.firza tension sgt dh ni.tolong la. The copyright of the image is owned by the owner, this website only displays a few snippets of several keywords that are put together in a post summary. Pastikan mempunyai alasan berhenti kerja yang kukuh dan munasabah. Should i pay or just ignore the claim? Selalunya, notis berhenti kerja ini dihantar sebab mengandung, mahu sambung belajar ke peringkat yang lebih tinggi dan dapat kerja lain dengan gaji yang lebih lumayan.

Contoh Surat Perletakan Jawatan Notis 24 Jam Sebulan
Contoh Surat Perletakan Jawatan Notis 24 Jam Sebulan from therohani.com
Contoh notis berhenti kerja 24 jam seminggu sebulan. Kami senaraikan beberapa contoh surat rasmi berhenti kerja yang popular. Dan adakah saya diberhentikan begitu saja? Berikut adalah beberapa sebab mengapa ia masuk akal untuk berhenti tanpa notis dan ini adalah beberapa sebab yang baik untuk berhenti kerja anda. Should i pay or just ignore the claim? 21344559 16620106 contoh surat berhenti kerja download documents. Satu orang memutuskan untuk hanya selepas bekerja selama seminggu. Peringkat kedua membabitkan 56 orang pekerja yang telah diberikan notis berhenti kerja sementara.

Dan adakah saya diberhentikan begitu saja?

For more information and source, see on this link : Jika perlu, ambil cuti tanpa gaji sahaja. Selalunya, notis berhenti kerja ini dihantar sebab mengandung, mahu sambung belajar ke peringkat yang lebih tinggi dan dapat kerja lain dengan gaji yang lebih lumayan. Then sampai surat dari company cakap saya kena bayar pampasan gaji sebulan sbb kalau ikutkan saya kena bagi sebulan notis. Peringkat kedua membabitkan 56 orang pekerja yang telah diberikan notis berhenti kerja sementara. To find out more complete and clear information or. Pekerja yang diberhentikan kerja tanpa diberi tempoh notis penamatan perkhidmatan yang mencukupi, boleh menuntut bayaran gaji ganti notis (indemniti). Dan disebabkan itu korang berhenti tanpa ada back up plan. Walau bagaimanapun, dalam beberapa kes, anda mungkin tidak mahu atau tidak dapat memberi notis. Masalah saya ialah, saya mahu berhenti kerja dr situ.dlm kontrak, de ditulis tntg notis berhenti kerja. Seseorang memutuskan untuk hanya selepas bekerja selama seminggu. Hal ini disebabkan saya baru sahaja menerima tawaran untuk melanjutkan pengajian. Should i pay or just ignore the claim?

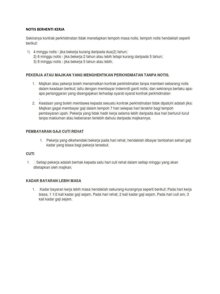
Pekerja tidak boleh menuntut dilepaskan dari notis ini, namun boleh cuma merayu kepada majikan agar melepaskan (waive) hak ini atas belas ihsan dan budi bicara. Katanya kalau saya tak bayar diorang akan saman. Berhenti kerja tanpa notis di bawah akta kerja 1955 (akta 265) 1. Oleh pekerja apabila berlaku bahaya atas diri atau tanggungan melainkan tugasan ada kaitan langsung dengan bahaya berkaitan. Mana2 pihak dpt menamatkan kontrak dgn cara bg notis 3 bulan atau bayaran 3 bulan gaji.

Surat Berhenti Kerja Contoh Surat Rasmi Berita Semasa
Surat Berhenti Kerja Contoh Surat Rasmi Berita Semasa from www.beritasemasa.com.my
Akta kerja 1955 telah membenarkan penamatan kontrak tanpa notis penamatan berlaku untuk situasi situasi berikut. Masalah saya ialah, saya mahu berhenti kerja dr situ.dlm kontrak, de ditulis tntg notis berhenti kerja. Berhenti kerja tanpa notis di bawah akta kerja 1955 (akta 265) 1. Korang boleh buat aduan di pejabat tenaga kerja yang berdekatan. Korang sudah bekerja lebih setahun di syarikat itu dan begitu je majikan hentikan macam korang tiada nilai langsung. Format contoh surat berhenti kerja tanpa notis terlengkap 2019. Pastikan mempunyai alasan berhenti kerja yang kukuh dan munasabah. Saya pekerja kontrak kat 1 syrikat swasta.kontrak setahun.skang saya dh kerja dekat 3 bln.

By posted on june 8, 2021.

Contoh surat berhenti kerja notis 2 minggu bahasa melayu. Notis berhenti kerja 24 jam di go asia sdn bhd. Contoh surat berhenti kerja dari majikan kepada pekerja have an image from the other contoh surat berhenti kerja dari majikan kepada pekerja in addition it will feature a picture of a sort that could be seen in. Saya telah bercakap dengan beberapa orang yang berhenti kerja tanpa memberi notis selama dua minggu dan tidak pasti tentang kesannya. Ada juga yang berhenti kerja kerana sakit, ada masalah kesihatan atau masalah peribadi. Contoh surat berhenti kerja tanpa notis have a graphic from the other.contoh surat berhenti kerja tanpa notis in addition, it will include a picture of a kind that may be observed in the gallery of contoh surat berhenti kerja tanpa notis. Majikan telah menahan sebulan gaji saya & menyuruh saya mmbayar balance lagi 2 hari tu. Siape penah kena saman berhenti kerja tanpa notis firza nak mintak tolong sape2 yg penah kena saman sebab berhenti kerja tanpa notis.firza x tahan dah rase nak cabut je kerja.truk ke tindakan yang die ambik.kite leh kena tangkap x.firza tension sgt dh ni.tolong la. Korang sudah bekerja lebih setahun di syarikat itu dan begitu je majikan hentikan macam korang tiada nilai langsung. Contoh notis berhenti kerja 24 jam seminggu sebulan. Kami senaraikan beberapa contoh surat rasmi berhenti kerja yang popular. Then sampai surat dari company cakap saya kena bayar pampasan gaji sebulan sbb kalau ikutkan saya kena bagi sebulan notis. Berikut adalah alasan untuk berhenti tanpa notis.

Berhubung perkara di atas, adalah saya adam bin yusof yang bertugas sebagai pegawai pemasaran di go asia ingin memaklumkan kepada pihak tuan tentang perletakan jawatan saya bermula pada hari esok, 25 november 2018. Korang sudah bekerja lebih setahun di syarikat itu dan begitu je majikan hentikan macam korang tiada nilai langsung. Then sampai surat dari company cakap saya kena bayar pampasan gaji sebulan sbb kalau ikutkan saya kena bagi sebulan notis. Dalam keadaan ini, ia tidak begitu penting bahawa dia tidak memberikan notis majikan sejak dia berada di sana begitu ringkas. Mana2 pihak dpt menamatkan kontrak dgn cara bg notis 3 bulan atau bayaran 3 bulan gaji.

Hak Yang Wajib Korang Tuntut Jika Diberhentikan Tanpa Alasan Dalam Tempoh 24 Jam
Hak Yang Wajib Korang Tuntut Jika Diberhentikan Tanpa Alasan Dalam Tempoh 24 Jam from blog.maukerja.my
Pihak yang menerima notis itu juga boleh memendekkan tempoh notis tersebut. Jika tidak ada rujuk hr & tanya polisi syarikat dalam hal ini atau jika anda dilindungi akta kerja 1955, notisnya adalah selama 4 minggu. Saya telah bercakap dengan beberapa orang yang berhenti kerja tanpa memberi notis selama dua minggu dan tidak pasti tentang kesannya. The collection that comprising chosen picture and the best amongst others. Contoh surat berhenti kerja tanpa notis have a graphic from the other.contoh surat berhenti kerja tanpa notis in addition, it will include a picture of a kind that may be observed in the gallery of contoh surat berhenti kerja tanpa notis. Berikut adalah alasan untuk berhenti tanpa notis. Ia adalah amat merugikan korang sahaja. Berhenti kerja tanpa notis di bawah akta kerja 1955 (akta 265) 1.

Walaubagaimanapun, notis 3 bulan yang pertama tidak ditandatangani oleh majikan, lalu majikan menyuruh saya untuk menulis notis sebulan untuk ditandatangani.

Walau bagaimanapun, dalam beberapa kes, anda mungkin tidak mahu atau tidak dapat memberi notis. To find out more complete and clear information or. Dalam keadaan ini, ia tidak begitu penting bahawa dia tidak memberikan notis majikan, kerana dia telah berada di sana begitu ringkas. Saya telah bercakap dengan beberapa orang yang berhenti kerja tanpa memberi notis selama dua minggu dan tidak pasti tentang kesannya. Korang boleh buat aduan di pejabat tenaga kerja yang berdekatan. Akta kerja 1955 telah membenarkan penamatan kontrak tanpa notis penamatan berlaku untuk situasi situasi berikut. Berikut adalah alasan untuk berhenti tanpa notis. Tapi saya dah berhenti dgn memberikan notis berhenti kerja 24jam atas masalah peribadi. Format contoh surat berhenti kerja tanpa notis terlengkap 2019. Kalau saya tidak datang kerja dalam 2 hari tanpa memberi notis berhenti, adakah saya perlu bayar ganti notis. Selalunya, notis berhenti kerja ini dihantar sebab mengandung, mahu sambung belajar ke peringkat yang lebih tinggi dan dapat kerja lain dengan gaji yang lebih lumayan. Jika perlu, ambil cuti tanpa gaji sahaja. The collection that comprising chosen picture and the best amongst others.

Related : Berhenti Kerja Tanpa Notis - Resume Kreatif على تويتر Situasi 3 Berhenti Tanpa Notis Masih Boleh Dapat Gaji Https T Co Jahv5ohcpx تويتر / Saya telah bercakap dengan beberapa orang yang berhenti kerja tanpa memberi notis selama dua minggu dan tidak pasti tentang kesannya..